Memasukkan dan mengedit data tidak akan mudah dilakukan jika tidak memiliki keterampilan dalam menggunakan. Terutama bagi para fresh graduate yang baru saja lulus kuliah.
Lowongan Kerja Administrasi Perkantoran Yogyakarta Contoh Lowongan Kerja Administrasi Perkantoran Dalam Bahasa Inggris Yang Kamu Harus Tahu
Implementasi metode pembelajaran oleh guru kompetensi keahlian administrasi perkantoran smk n 1 kebumen.
Contoh lowongan pekerjaan administrasi perkantoran. Selain itu berikut ini beberapa skill yang dibutuhkan. Saya menyukai lingkungan pekerjaan yang kondusif. Oleh karena itu kamu bisa mencantumkan keahlian keterampilan atau skill dalam cv kamu tentu saja yang berhubungan dengan pekerjaan yang dibutuhkan.
Bagi anda yang sedang berencana untuk melamar pekerjaan satu hal penting yang harus anda buat dengan baik dan benar. Data entry adalah profesi yang memerlukan ketelitian yang tinggi dan bisa mengerjakan tugas dengan detail. Saya menyukai pekerjaan yang bisa membuat saya berkembang lebih baik dan mendapatkan manfaat bagi diri sendiri maupun lingkungan saya.
1700 1900 wib. Kami merupakan sebuah media online yang mengkhususkan dirinya sebagai penyedia informasi lowongan kerja bagi wilayah dki jakarta yang mempunyai 4 kota administrasi dan 1 kabupaten yang diantaranya adalah jakarta barat jakarta timur jakarta utara jakarta selatan jakarta pusat. 1500 1700 wib.
Administration staff adalah istilah dalam bahasa inggris untuk pekerjaan staf administrasi. 1300 1500 wib. Ketika sebuah perusahaan tengah melakukan perekrutan dalam sebuah lowongan kerja biasanya terdapat kualifikasi dengan keahlian tertentu.
Sejumlah formasi yang dibuka antara lain administrasi umum analis perencanaan administrasi keuangan dan pranata komputer. 0800 1000 wib. Skill pertama yang harus dikuasai data entry adalah mampu menggunakan komputer dengan baik.
Saya menyukai pekerjaan yang sesuai dengan bidang pendidikan saya. Web design programming daftar. Berikut contoh jawaban pertanyaan pekerjaan yang disukai.
Contoh surat lamaran kerja staff administrasi bekerja di suatu perusahaan impian dan diidam idamkan adalah dambaan semua orang. Latar belakang masalah berdasarkan hasil observasi yang dilakukan di kelas xi ap 1 dan 2 pada tanggal 1 2 april 2017 ditemukan beberapa permasalahan dalam kegiatan pembelajaran. Admin dari blog kumpulan kerjaan 2019 juga mengumpulkan gambar gambar lainnya terkait analisa harga satuan pekerjaan sni 2019 xls dibawah ini.
Tugas utama seorang staf administrasi adalah mengerjakan tugas tugas administrasi kantor seperti mengatur arus dokumen melakukan surat menyurat menyiapkan bahan presentasi dan. Bagi anda para calon pelamar yang tertarik dengan lowongan dari bpom ini bisa melakukan pendaftaran mulai tanggal 8 februari sampai dengan 12 februari 2021. Berikut yang dapat kita bagikan terkait analisa harga satuan pekerjaan sni 2019 xls.
Contoh surat lamaran bahasa inggris administration staff.
Lowongan Kerja Administrasi Perkantoran Yogyakarta Contoh Iklan Lowongan Kerja Administrasi Perkantoran Terkini
Lowongan Kerja Administrasi Perkantoran Yogyakarta Contoh Iklan Lowongan Pekerjaan Administrasi Perkantoran Yang Kamu Harus Tahu
Lowongan Kerja Administrasi Perkantoran Terbaru
Dibutuhkan Segera Staff Admin Poskerjamedan Com
Iklan Lowongan Pekerjaan Administrasi Perkantoran Dalam Bahasa Inggris Info Seputar Kerjaan
Lowongan Pekerjaan Staf Keuangan Program Pendidikan Vokasi Universitas Indonesia
Lowongan Kerja Administrasi Perkantoran Yogyakarta Lowongan Pekerjaan Untuk Lulusan Smk Administrasi Perkantoran Terlengkap
Lowongan Kerja Lulusan Smk Administrasi Perkantoran
Contoh Lowongan Kerja Administrasi Perkantoran Download Contoh Lengkap Gratis
Kumpulan Ilmu Dan Pengetahuan Penting Contoh Iklan Lowongan Kerja Administrasi
Info Lowongan Kerja D Iii Sekretari Unpam
Terbaru Bumn Hutama Karya Buka Lowongan Pekerjaan Untuk Lulusan S1 S2 Halaman All Kompas Com
29 Contoh Surat Lamaran Kerja Bahasa Inggris Jurusan Administrasi Perkantoran Images Contohsurat Lif Co Id
Contoh Iklan Lowongan Pekerjaan
Iklan Lowongan Pekerjaan Perkantoran
10 Contoh Iklan Lowongan Kerja Singkat Menarik Salamadian
10 Contoh Surat Lamaran Kerja Staff Administrasi Yang Baik Dan Benar
Kurikulum Smk Jurusan Administrasi Perkantoran
8 Contoh Iklan Lowongan Kerja Dalam Bahasa Inggris
List Lowongan Amik Taruna Probolinggo
Contoh Surat Lamaran Pekerjaan Untuk Administrasi Dan Perkantoran Tanpakoma
Contoh Iklan Lowongan Kerja Pengumuman Penerimaan Karyawan Baru Contoh Surat
Contoh Iklan Lowongan Kerja Administrasi
Contoh Surat Lamaran Kerja Bahasa Inggris Cv Wawancara
Merinci 6 Contoh Iklan Lamaran Pekerjaan Dari Berbagai Media
Lowongan Kerja Staf Keuangan Administrasi Gudang Addictea Bandung Maret 2020 Keuangan Kerja Minuman
Contoh Iklan Lowongan Kerja Administrasi Perkantoran Surat Gg Cute766
Lowongan Kerja Administrasi Perkantoran
Contoh Lowongan Kerja Bahasa Inggris Berbagai Posisi
Contoh Surat Lamaran Kerja Smk Contoh Surat
10 Contoh Iklan Lowongan Kerja Singkat Menarik Salamadian
Contoh Surat Lamaran Kerja Fresh Graduate
Lowongan Kerja Palembang Lulusan Sma Smk 2017 Lowongan Kerja Terbaru Lulusan Sma D3 Dan S1 Semua Jurusan 2021
Siapa Bilang Staf Administrasi Adalah Pekerjaan Mudah Ini Faktanya
14 Contoh Surat Lamaran Pekerjaan Berdasarkan Iklan Disurat Kabar Kumpulan Contoh Surat
15 Contoh Job Vacancy Dalam Bahasa Inggris Baik Benar
18 Contoh Surat Lamaran Kerja Untuk Segala Posisi Pasti Dilirik Hrd
10 Contoh Iklan Lowongan Pekerjaan Dalam Bahasa Inggris Dan Artinya Contohtext
Contoh Iklan Lowongan Kerja Administrasi Perkantoran Cute766
5 Contoh Surat Lamaran Kerja Staff Administrasi Yang Baik Dan Benar Saturadar Com Portal Informasi Indonesia
Lowongan Kerja Administrasi Perkantoran 2020
Contoh Surat Lamaran Kerja Bahasa Inggris Cv Wawancara
Lowongan Kerja Administrasi Perkantoran Yogyakarta Lowongan Pekerjaan Lulusan Smk Jurusan Administrasi Perkantoran Yang Kamu Harus Tahu
15 Contoh Surat Lamaran Kerja Untuk Angkasa Pura Kumpulan Contoh Surat
101 Contoh Surat Lamaran Kerja Administrasi Yang Baik Benar
5 Contoh Surat Lamaran Kerja Di Apotik Semua Posisi Kosngosan
Lowongan Kerja Lulusan Smk Administrasi Perkantoran Nasi
101 Contoh Surat Lamaran Kerja Administrasi Yang Baik Benar
Contoh Surat Lamaran Kerja Bahasa Inggris Cv Wawancara
15 Contoh Surat Lamaran Kerja Sekretaris Yang Baik Dan Benar
31 Contoh Surat Lamaran Kerja Yg Baik Dan Benar Doc Word
10 Contoh Iklan Lowongan Kerja Di Koran Dalam Bahasa Inggris Sederet Com
10 Contoh Iklan Lowongan Kerja Singkat Menarik Salamadian
15 Contoh Iklan Lowongan Kerja Dalam Bahasa Inggris Beserta Artinya Englishiana
Lowongan Kerja Tenaga Operasional Kantor Badan Restorasi Gambut Tahun 2019 Rekrutmen Lowongan Kerja Bulan Maret 2021
21 Daftar Perusahaan Bumn Yang Membuka Lowongan Kerja 2021 Mamikos Info
Contoh Surat Lamaran Pekerjaan Untuk Administrasi Dan Cute766
Contoh Surat Lamaran Kerja Lowongan Kerja Kalimantan Tengah
Lowongan Pekerjaan Untuk Ppnpn Sekretaris Kppn Gunungsitoli
Soal Cpns Materi Administrasi Perkantoran Icpns
Contoh Surat Lamaran Kerja Administrasi Perkantoran Surat Lamaran Kerja
Contoh Surat Lamaran Bahasa Inggris Untuk Pekerjaan Administrasi Sederet Com
Contoh Surat Lamaran Kerja Yang Baik Dan Benar Terlengkap
31 Contoh Surat Lamaran Kerja Bahasa Inggris Dan Artinya Lengkap
Contoh Surat Lamaran Kerja Bumn Contoh Surat
16 Contoh Surat Lamaran Kerja Guru Sd Smp Sma Dll Contoh Surat
Contoh Surat Lamaran Pekerjaan Untuk Manufaktur Dan Gudang Tanpakoma
Lowongan Staff Administrasi Keuangan Orari
Lagi Nganggur Saat Corona 6 Perusahaan Ini Buka Lowongan Kerja Cermati Com
330 Contoh Lamaran Kerja Dan Cv Ideas Surat Job Education
Download Contoh Surat Lamaran Kerja Kompensasi Dan Benefit
19 Contoh Surat Lamaran Kerja Manager Operasional Kumpulan Contoh Surat
Soal Administrasi Perkantoran Dan Jawabannya Ilmusosial Id
10 Contoh Iklan Lowongan Kerja Singkat Menarik Salamadian
Iklan Lowongan Pekerjaan Administrasi Perkantoran Dalam Bahasa Inggris Info Seputar Kerjaan Cute766
Jangan Sampai Ketipu Inilah Ciri Ciri Undangan Wawancara Kerja Palsu Cermati Com
Tuliskan Contoh Tempat Dan Tanggal Pembuatan Surat Pada Surat Lamaran Pekerjaan Brainly Co Id
33 Contoh Surat Lamaran Kerja Di Berbagai Bidang Profesi
Contoh Surat Lamaran Kerja Bahasa Inggris Cv Wawancara
Kumpulan Soal Excel Untuk Tes Kerja Perusahaan Terbaru Berbagai Posisi Kosngosan
10 Contoh Surat Ran Kerja Di Hotel Terbaru Format Word
Contoh Surat Lamaran Pekerjaan Untuk Kesehatan Tanpakoma
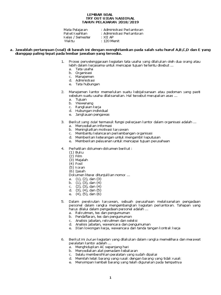
Soal Ujian Nasional Administrasi Perkantoran Ilmusosial Id
Contoh Iklan Lowongan Kerja Administrasi Perkantoran Dokter Andalan
Lowongan Kerja Administrasi Perkantoran Pt Garuda Prima Sentosa Gps Lowongan Kerja Terbaru Lulusan Sma D3 Dan S1 Semua Jurusan 2021
101 Contoh Surat Lamaran Kerja Administrasi Yang Baik Benar
10 Peluang Atau Prospek Kerja Administrasi Perkantoran Dan Gajinya
Contoh Surat Lamaran Kerja Dan Cv Administrasi Download Kumpulan Gambar
Contoh Surat Lamaran Kerja Accounting Staff Akuntansi Yang Baik Dan Benar Contoh Surat
Cara Melamar Kerja Dengan Baik Dan Benar Nadya Amelia
21 Daftar Perusahaan Bumn Yang Membuka Lowongan Kerja 2021 Mamikos Info
Https Encrypted Tbn0 Gstatic Com Images Q Tbn And9gcr4vnwpuksupnm4t Wjtl68xbt1afoxkig5umtnymenbdd11kjy Usqp Cau
Lokerit Archives Bagian Kepegawaian Universitas Medan Area Kampus Terbaik Di Indonesia
Lowongan Kerja Administrasi Perkantoran Yogyakarta Contoh Surat Lowongan Pekerjaan Administrasi Perkantoran Terkini
Panduan Membuat Application Letter Yang Baik Dan Benar Rumah Com
9 Contoh Surat Lamaran Kerja Di Pt Sebagai Karyawan 2021



0 comments:
Post a Comment